bottom



AUTO-INDUZIONE

Laboratorio elettromagnetico di Faraday (PHET)

...

Understanding Inductors!

 

In un circuito in cui scorre una corrente variabile nel tempo si genera una forza elettromotrice dovuta alla corrente stessa
Questo fenomeno è detto AUTOINDUZIONE

Per esempio, in figura, la bobina è connessa ad un generatore di corrente variabile

La corrente variabile crea un campo magnetico variabile che, a sua volta, crea un flusso variabile attraverso la bobina.

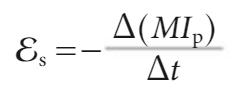
Per la legge di Faraday-Neumann-Lenz, nella bobina si genera una forza elettromotrice

Il flusso magnetico attraverso la bobina è proporzionale al campo magnetico B
e il campo magnetico è proporzionale alla corrente I,
per cui se indichiamo con L la costante di proporzionalità, detta autoinduttanza o INDUTTANZA della bobina e scriviamo:

sostituendo si ha:

e quindi

 

l'unità di misura S.I. di tale costante è detta henry

l'ultima UNITA' di MISURA per l'induttanza: l'henry
[H] = [Wb/A] = [V·s / A]

in onore di Joseph HENRY (USA, 1797-1878)
...

 

 

 

 


L'INDUTTANZA di un SOLENOIDE

N: numero si avvolgimenti del solenoide
A: area della sezione del solenoide
l: lunghezza del solenoide
μ0: permeabilità magnetica nel vuoto
(nel caso ci fosse un nucleo interno occorre moltiplicare per μr permeabilità magnetica nel mezzo

ricordando che in un solenoide il campo mangetico vale:

B=µ0·N· I / L

e

sostiuendo si ricava:

OSSERVAZIONE: L è una cratteristica dell'induttore e non è legata alla corrente che lo attraversa

Analogamenta alla capacità del condensatore che non dipende dalla carica sulle piastre

...


ENERGIA immagazzinata in un solenoide

 

quali altre forme di energia hanno una forma simile?
quali sono le corrette unità di misura per L·I²
 

MUTUA-INDUZIONE

Mutual Induction || Animated explanation || Electromagnetic Induction || Physiscs ||12 class

 

L’effetto per cui una corrente variabile in un circuito induce una fem in un altro circuito è detto MUTUA INDUZIONE

Per la legge di Faraday-Neumann-Lenz, nella bobina secondaria si genera una forza elettromotrice

Il flusso magnetico attraverso la bobina è proporzionale al campo magnetico B
e il campo magnetico è proporzionale alla corrente I,
per cui se indichiamo con M la costante di proporzionalità, detta MUTUA INDUTTANZA o coefficiente di MUTUA INDUTTANZA della bobina e scriviamo:

sostituendo si ha:

e quindi

 

anche l'unità di misura S.I. del coefficiente di MUTUA INDUZIONE M è l'henry

 

Senza dimostrarlo, notiamo che la mutua induttanza è una proprietà del sistema formato da due circuiti e non dipende da quale di essi è il primario

 

 

 

 


Approfondimenti

 

1º settembre 1859 - EVENTO di CARRINGTON: la più grande tempesta solare mai osservata! (CORRENTI INDOTTE)

la catapulta elettromagnetica


la BOBINA di TESLA

...

dalla torre di Wardenclyffe alle bobine di TESLA

 

 


Approfondimento da vedere: Fulmini e musica dalla bobina di Tesla!

 

 

- - -

top